- 1
-
第120题:

- 2
-
第119题:

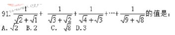
- 3
-
第118题:

- 4
-
第117题:

- A. 6.7 B. 7.0 C. 7.6 D.12.7
- 6
-
四

第116题:

- 7
-
第114题:

- 8
-
第113题:

- 9
-
第112题:

- 10
-
三

第111题:

- 11
-
第109题:

- 12
-
第110题:

- 13
-
第108题:

- 14
-
第105题:

- 15
-
第107题:

- 17
-
第104题:

- 18
-
第103题:

- 19
-
第102题:

- 20
-
第100题:

- 21
-
第101题:

- A. 360 元 B. 382.5 元 C. 401.5 元 D. 410 元
- A. 30 度 B. 45 度 C. 90 度 D. 120 度
- A.1222 B.1232 C.1322 D.1332
- 25
-
第96题:

- A. 350 元 B. 384 元 C.375 元 D.420 元
- 27
-
第95题:

- A. 780 米 B.800 米 C.850 米 D.900 米
- 30
-
第92题:

- A.45 B.56 C.75 D.92
- A.13 B.14 C.15 D.17
- 33
-
第86题:

- A. 28 B. 29 C. 30 D. 31
- A.32 B.64 C.128 D.256
- A.服药时增加饮水量会降低药物的浓度B.服药时大量饮水,可以加快药物通过咽、食管进入胃的速度C.有些药物,由于代谢产物溶解度低,容易在泌尿道中析出,引起其他症状,因此病人在服药期间每天至少要饮水1500 毫升D.服药时,饮水过少会使药片滞留在食管中时间较长,甚至产生副作用
- 37
-
第83题:

- A. 乙公司数码产品的消费者数量比甲公司的多2 倍B.甲公司数码产品的消费者数量比乙公司的多5 倍C. 乙公司收到的有关数码产品质量问题的投诉比甲公司多2 倍D.甲公司收到的有关数码产品质量问题的投诉比乙公司多5 倍
- 39
-
第80题:

- 40
-
第82题:

- 41
-
第81题:

- 42
-
第78题:

- 43
-
第79题:

- A. 教练员 红绿 B. 混合双打 明暗C. 单打比赛 黑白 D. 裁判员 左右
- 46
-
第77题:

- A. 消除贫困 多吃肉类 B. 金融安全 餐费打折C. 消除危机 调换口味 D. 扩大内需 用餐免费
- A. 毛笔∶国画∶字帖 B. 卡车∶货物∶冰箱C. 空调∶温度∶冷气 D. 手机∶信息∶彩信
- A. 菜肴∶厨师∶宴会 B. 道具∶演员∶文艺演出C. 动物∶饲养员∶动物演出 D. 记录∶运动员∶运动会
- 50
-
第70题:红绿灯∶交通
- A. 机场∶安检 B. 手机∶通话 C. 教育部∶学生 D. 开关∶电流
- A. 顾客∶积分∶优惠券 B. 会计∶报销∶火车票C. 考生∶考试∶准考证 D. 员工∶考勤∶工作证
- 52
-
第69题:钢笔∶墨水t
- A. 血管∶血液 B. 枪支∶子弹 C. 煤炉∶煤炭 D. 电钻∶钻头
- 53
-
第68题:近视∶眼镜??
- A. 聋哑∶手语 B. 中风∶针灸 C. 癌症∶化疗 D. 失明∶墨镜
- 54
-
第67题:骨骼∶肌肉
- A. 齿轮∶发条 B. 表针∶表盘 C. 果核∶果皮 D. 轮胎∶汽车
- A. 电脑病毒∶程序 B. 粮食∶谷物 C. 操作系统∶电脑 D. 军人∶警察
- 56
-
第64题:

- 57
-
第65题:

- A.甲欲毒杀同事乙,于是在大家共同喝水的饮水机中投毒,乙当天并未从饮水机中取水,但却导致其他三位同事中毒B.甲欲枪杀乙,在乙家门口伏击,只击中了乙的胳膊C.出租车司机甲与朋友吃饭时多喝了几杯,但是凭借自己多年的驾驶经验,甲认为不会有问题,于是不顾朋友的劝阻执意出车,结果撞死了行人乙D.某医院护士甲将病人乙和丙服用的药物弄混,到了给乙用药的时间,甲没有仔细核对就拿起应该给丙服用的药物给乙服用,结果因药性不对导致乙死亡
- 59
-
第61题:

- 60
-
第63题:

- 61
-
第58题:

- 62
-
第60题:

- 63
-
第59题:

- A.小王找某份文件一时没有找到,过了两个小时后他发现了那份文件B.晓峰写毕业论文遇到困难,几天后他参加学术会议时得到很多相关信息,并且理清了思路C.某修理人员在修理电视机时查阅了大量线路图,终于修好了电视机D.某研究人员的一项申请迟迟没有得到有关部门批复,他转而研究别的课题,几个月后该项目得到批准
- 65
-
第57题:

- 66
-
第55题:

- 67
-
第54题:

- 68
-
第53题:

- 70
-
第52题:

- A.温饱问题的解决是艺术创造的必要的物质基础B.制陶技术是人类创造性地利用自然资源的结果C.人类生产形式的改进源于提升生活方式的需求D.制陶技术是人类利用自然满足所需能力的标志
- A.政府和商人交易所需费用 B.盐商进行食盐专卖的代价C.盐商获得利润的必要成本 D.盐商经销食盐所缴纳的赋税
- A.画家构思的过程 B.艺术创作过程的快乐C.好画诞生的过程 D.艺术品是内心世界的形象
- A.“克隆”技术面临的难关B.中国人的生命观念与“克隆人”技术的冲突C.有性繁殖与无性繁殖的主要区别D.中国人难以接受“克隆人”技术的原因
- A. 细胞诞生的科学假说 B. 细胞初始的变化过程C. 生命单元的形成条件 D. 生命演化的合理猜想
- A. 澄清对待自身价值的思想误区 B. 强调德才兼备是人才质量的核心C. 批评某些人一味自我包装炒作的行为 D. 阐明克己修身对提高自身价值的重要意义
- A.规则是有棱有角,非常清楚的,丁就是丁,卯就是卯B.尊重规则,遵守规则,是做好一切事情的前提和根本C.规则可惩罚违反它的人,又可保护和赏赐遵守它的人D.规则作为尺度和准绳,为人们做事提供了一个客观的标准
- A. 生命拒绝麻木 B. 生命中的疼痛 C. 生命庆幸疼痛 D. 别样的疼痛
- A. 单凭天赋是不能成为艺术家的 B. 孩子的天赋可能大多被忽视了C. 孩子们无法意识到自己的天赋 D. 学会支配天赋才能成为艺术家
- A. 人们容易对美的东西产生感情 B. 感情既是个人的,又是社会的C. 充分体现了个人意志的情感才是真挚的 D. 人们之间的感情是隐秘的,不易传达
- A.民主决策过程对民主的重要性 B.只有通过民主决策,才能凝聚信心C.决策过程对民主的重要性 D.有效的参与过程,便是凝聚信心的过程
- A.获诺贝尔奖的作品大多曲高和寡 B.勒·克莱齐奥的作品在国内不畅销C.“独特品味”使诺贝尔奖脱离大众文化 D.国内读者对诺贝尔奖作品了解较少
- A.贵在散心 B.是健身的有效方式C.是陶冶情趣的重要途径 D.重在表现自由率直的天性
- A.老字号在老百姓心中的位置和意义 B.老字号的诚信为自己赢得良好的信誉C.老字号的沉淀,积累了丰富的商业文化 D.每家老字号都有自己独特的传统技艺
- A.食物链一词的来源和含义 B.美国白头鹰灭绝的原因C.食物链的累积和放大效应 D.环境对食物链有非常重要的影响
- A.职业和事业 B.谋生与理想 C.兴趣与工作 D.目标与现实
- A.讹传与事实 B.事实胜于雄辩 C.表象与真相 D.爱国不在形式
- A.传统中国画的笔法特点 B.传统中国画的构图原则C.鉴赏传统中国画的角度 D.传统中国画的用墨技巧
- A.某国每年有500 万人口脱盲 B.某国扫盲成绩比不上亚洲国家C.某国扫盲成绩不理想 D.某国扫盲速度太慢
- A.性情特点 B.生活特性 C.捕食习性 D.消化功能
- A. 变迁 连续 比照 滴水穿石 B. 面貌 完整 归纳 一鸣惊人C. 联系 分别 分析 细入毫芒 D. 轨迹 真实 反省 积少成多
- A. 既定 多半 迫切 B. 现有 自然 现实C. 当前 也许 棘手 D. 固有 通常 严峻
- A. 确认 全心全意 自力更生 B. 概括 坚定不移 殚精竭虑C. 阐发 矢志不渝 高瞻远瞩 D. 重申 聚精会神 锲而不舍
- A. 目标 推动 B. 核心 影响 C. 动力 引导 D.源泉 培养
- A. 实用 欲望 B. 生活 情感 C. 娱乐 目标 D. 交换 生存
- A.一如既往 解决 B.历久弥新 考察 C.一唱百和 思考 D.经久不衰 面对
- A.深厚 发展 B.复杂 进展 C.细腻 保持 D.多样 延续
- A.折射 策略 B.烘托 手法 C.衬托 形式 D.暗示 步骤
- A.密密匝匝 B.热热闹闹 C.林林总总 D.郁郁葱葱
- 100
-
第23题:追求与放弃都是正常的生活态度,有所追求就应有所放弃。有价值的人生,需要开拓进取、成就事业,但更要懂得正确和必要的放弃——这不是一种 ,而是一种 。依次填入 处的词语,最恰当的一组是( )
- A.淡漠 豁达 B.无为 境界 C.无奈 智慧 D.退却 自信
- A. 省、市两级行政执法机关 B. 乡镇级行政执法机关C.县级行政执法机关 D.市、县两级行政执法机关
- 102
-
第20题:2008 年6 月,十一届全国人民代表大会常务委员会第三次会议听取和审议国务院关于四川汶川特大地震抗震救灾及灾后恢复重建工作情况的报告。这属于全国人民代表大会常务委员会的哪一项职权?( )
- A.特定问题调查 B.监督国务院的工作C.讨论和决定国务院工作中的重大问题 D.决定重大的国家事项
- A. 审判机关行使 B. 检察机关行使 C. 公安机关行使 D. 监察机关行使
- A. 学生甲勤工俭学获得收入4000 元B. 乙购买财产保险,因财产损失获得保险赔款20 万元C. 残疾人丙因急需治病而将自己的房产转让所得收入30 万元D. 运动员丁因获奥运银牌而得到的籍贯所在地人民政府颁发的奖金30 万元
- A. 输血前经过检疫就能够避免受血者感染血液传播性疾病B. 在大出血的紧急情况下,可依据献血者所报血型,直接输血C. 输血可以为病人增加抵抗力,补充营养,所以手术病人应常规输血D. 成分输血具有疗效好、副作用小、节约血液资源以及便于保存和运输等优点
- A. GDP 的计算包含了伴随经济增长而来的生态与环境变化的影响B. G20 峰会的宗旨是推动新兴市场国家之间就实质性问题进行讨论和研究,以寻求合作并促进国际金融稳定和经济持续发展C. “金砖四国”指的是巴西、俄罗斯、印度、中国四个国家D. 东盟是指东亚五国为致力于经济一体化建设而建立的区域性国家联盟
- A. 沧海月明珠有泪,蓝田日暖玉生烟 B. 兰陵美酒郁金香,玉碗盛来琥珀光C. 年年战骨埋荒外,空见葡萄入汉家 D. 汉家天马出蒲梢,苜蓿榴花遍城郊
- A. 灵活开放,先试先行 B. 同等优先,适当放宽C.保护为主,开发为辅 D.创新完善,健全机制
- A.是实现共同富裕,加强民族团结,保持社会稳定和边疆安全的战略举措B.是扩大国内有效需求,实现经济持续快速增长的重要途径C.是实现现代化建设第二步战略目标的客观需求D.是适应世界范围结构调整,提高我国国际竞争力的迫切要求
- A.闽南文化 B.客家文化 C.妈祖文化 D.侨乡文化
- A.《星星之火可以燎原》 B.《反对本本主义》C.《才溪乡调查》 D.《论持久战》
- A.地壳中含量最多的金属——铜 B.内蒙古境内最大的湖——呼伦湖 C.最早发现X 射线的科学家——伦琴 D.我国境内最大的内陆咸水湖——青海湖
- A.用河水养金鱼,每天为鱼换水B. 把鱼缸放在窗台上,让鱼晒太阳C. 在鱼缸里放入一些石头、水草、和金鱼做朋友D. 从自来水管接水后,直接倒入鱼缸
- A.鲜卑族—前秦—拓跋 B.契丹族—辽—耶律阿保机C.蒙古族—元—成吉思汗 D.女真族—后金—皇太极
- A.中国农历纪年的闰年一般为383、384 或385 天
- B.根据小孔成像原理,日偏食的时候树荫下的光斑也会缺一块
- C.黑洞巨大的引力场使得包括光子在内的任何物质只能逃逸而无法进入
- D.北斗七星的勺柄一年四季指向北,可据此在夜间辨明方向
- A.儒学、国画和针灸 B.茶艺、昆曲和武术C.瓷器、书法和儒学 D.国画、京剧和中医
- A.农作物肥料的三要素是氮磷钾B.种植棉花,苗肥要“轻”,蕾肥要“控”,华铃肥要“重”C.一般小麦的亩产量高于水稻,水稻的亩产量高于玉米D.美国史世界上最大的谷物生产国
- A. 天津---评剧
- B. 安徽---黄梅戏
- C. 山东---吕剧
- D. 湖南---花鼓戏
- A. 严复 B. 林则徐 C. 沈葆桢 D. 林纾
- A.北宋 B.唐代 C.南宋 D.东汉
我




















































