- A.应用软件
- B.系统支撑软件
- C.核心系统软件
- D.网络软件
- A.5/6
- B.1/6
- C.1/3
- D.1/5
- A.开标时间是2009年3月8日上午8时30分之后的某一时间
- B.可以改变开标地点
- C.开标由该建设单位主持
- D.由于丙单位中标,开标时只要邀请丙单位参加即可
- A.销售收入
- B.回收固定资产余值
- C.回收无形资产
- D.回收流动资金
- A.平衡状态
- B.移动状态
- C.转动状态
- D.既移动又转动状态
- A.Mel/Me2=2
- B.Mel/Me2=2/3
- C.Mel/Me2=1/2
- D.Mel/Me2=1/3
- A.Mel/Me2=2
- B.Mel/Me2=2/3
- C.Mel/Me2=1/2
- D.Mel/Me2=1/3
- A.分子的平均平动动能和气体的内能都减少
- B.分子的平均平动动能不变,但气体的内能都减少
- C.分子的平均平动动能减少,但气体的内能都不变
- D.分子的平均平动动能和气体的内能都不变
- A.增加了反应物压力
- B.增加了活化分子百分数
- C.活化能增大
- D.混乱度增加
- A.Fl+F2+F3=0
- B.F3=Fl+F2
- C.F2=Fl+F3
- D.El=F2+F3 <img src="//img1.yqda.net/question-name/fb/1b4c0f9a4ede5c2f64e5574c0a6174.jpg" alt="" />
- A.主应力就是最大正应力
- B.主平面上无切应力
- C.最大切应力作用的平面上正应力必为零
- D.主应力必不为零
- A.5
- B.6
- C.7
- D.8
- A.图(a)总净功为负,图(b)总净功为正,图(c)总净功为零
- B.图(a)总净功为负,图(b)总净功为负,图(c)总净功为正
- C.图(a)总净功为负,图(b)总净功为负,图(c)总净功为零
- D.图(a)总净功为正,图(b)总净功为正,图(c)总净功为负
- A.A点
- B.B点
- C.C点
- D.D点 <img src="//img1.yqda.net/question-name/c8/205835922d80d1dcc47567910054fc.jpg" alt="" />
- 19
-
AgCl在水中,0.01mol/L CaCl2溶液中,0.01mol/L NaCl溶液,0.05mol/L AgN03溶液中的溶解度分别为S0、Sl、S2、S3,那么下列哪种排列是正确的( )。
- A.S0>Sl >S2>S3
- B.S0>S2> Sl >S3
- C.S0>Sl >S2= S3
- D.S0>S2> S3>Sl
- A.无穷远处
- B.O2点
- C.A点
- D.B点
- A.20
- B.30
- C.60
- D.50
- A.2
- B.20
- C.102
- D.104
- A.过点(1,-1,0),方向向量为2j+J-k
- B.过点(1,-1,0),方向向量为2i-j+k
- C.过点(-1,1,0),方向向量为-2f-j+k
- D.过点(-1,1,0),方向向量为2i+j-k
- A.1111111.001B
- B.1111101.101B
- C.1111101.001B
- D.1111101.101B
- A.过点(1,-1,0),方向向量为2j+J-k
- B.过点(1,-1,0),方向向量为2i-j+k
- C.过点(-1,1,0),方向向量为-2f-j+k
- D.过点(-1,1,0),方向向量为2i+j-k
- A.层内存在自由电子
- B.层内有杂化轨道
- C.属金属晶体
- D.层内存在离域大Ⅱ键
- A.雷诺准则
- B.弗劳德准则
- C.欧拉准则
- D.A、B、C各准则
- A.7/6mr2ω2
- B.3/2mr2ω2
- C.10/6mr2ω2
- D.9/8mr2ω2 <img src="//img1.yqda.net/question-name/b4/0f8804aa0287086d153a2160d41b98.jpg" alt="" />
- A.810
- B.699
- C.805
- D.695
- A.810
- B.699
- C.805
- D.695
- A.810
- B.699
- C.805
- D.695
- A.3
- B.4
- C.8
- D.32
- A.温度和压强都提高为原来的2倍
- B.温度为原来的2倍,压强为原来的4倍
- C.温度为原来的4倍,压强为原来的2倍 、
- D.温度和压强都为原来的4倍
- A.格式化磁盘
- B.给磁盘作标签
- C.维护磁盘
- D.访问磁盘
- A.1/3ml2ω
- B.2/3ml2ω
- C.ml2ω
- D.4/3ml2ω
- A.减小
- B.增大
- C.不变
- D.无法判断
- A.2.22
- B.4.44
- C.10
- D.20
- A.Q1=Q2
- B.Q1=2.64Q2
- C.Q1=5.66Q2
- D.Q1=6.14Q2
- A.静止状态
- B.临界平衡状态
- C.滑动状态
- D.条件不足,不能确定 <img src="//img1.yqda.net/question-name/90/3e86254be4cf59d39c6760a958705e.jpg" alt="" />
- A.静止状态
- B.临界平衡状态
- C.滑动状态
- D.条件不足,不能确定 <img src="//img1.yqda.net/question-name/90/3e86254be4cf59d39c6760a958705e.jpg" alt="" />
- A.紫光
- B.绿光
- C.黄光
- D.红光
- A.>25.3%
- B.不变
- C.<25.3%
- D.接近100%
- A.<img src="//img1.yqda.net/question-name/5c/f33a3effea95cf4f92bed1a331da40.jpg" alt="" />
- B.<img src="//img1.yqda.net/question-name/ee/eaa4037c78dba44b87b954299f59c3.jpg" alt="" />
- C.<img src="//img1.yqda.net/question-name/d7/7c7b5f22ce968a27f15adfee57b5c4.jpg" alt="" />
- D.<img src="//img1.yqda.net/question-name/ea/76b2296c8c6762a922375da29bea99.jpg" alt="" />
- A.1/2mv2
- B.1/3mv2
- C.2/3mv2
- D.4/3mv2
- A.1/2mv2
- B.1/3mv2
- C.2/3mv2
- D.4/3mv2
- A.氨水
- B.草酸
- C.KCN溶液
- D.盐酸
- A.氨水
- B.草酸
- C.KCN溶液
- D.盐酸
- A.振动频率越高,波长越长
- B.振动频率越低,波长越长
- C.振动频率越高,波速越大
- D.振动频率越低,波速越大
- A.2一乙基丁烷
- B.2,2一二甲基丁烷
- C.3,3一二甲基丁烷
- D.2,3,3一三甲基丁烷
- A.行政许可所依据的法律、法规、规章修改,为了公共利益的需要的
- B.行政许可被许可人不再具备行政许可条件,为了公共利益的需要的
- C.行政许可所依据的法律、法规、规章废止,为了公共利益的需要的
- D.准予行政许可所依据的客观情况发生重大变化的,为了公共利益的需要
- A.变大
- B.变小
- C.无变化
- D.无法确定
- 58
-
声波的频率范围是( )。
- A.20~200Hz
- B.20~2000Hz
- C.20~20 000Hz
- D.20~200 000Hz
- A.方案甲
- B.方案乙
- C.方案丙
- D.无法确定
- A.FA的作用线沿水平方向
- B.FA的作用线沿铅垂方向
- C.FA的作用线平行于B、C连线
- D.FA的作用线方向无法确定
- A.出口产出的影子价格(出厂价)=离岸价(FOB)x影子汇率+出口费用
- B.出口产出的影子价格(出厂价)=到岸价(CIF)×影子汇率一出口费用
- C.进口投入的影子价格(到厂价)=到岸价(CIF)×影子汇率+进口费用
- D.进口投入的影子价格(到厂价)=离岸价(FOB)×影子汇率一进口费用
- A.方案甲
- B.方案乙
- C.方案丙
- D.无法确定
- A.2
- B.3
- C.4
- D.5
- A.高速缓存技术
- B.中断技术
- C.流水线技术
- D.分段分页技术
- A.13 573
- B.14 093
- C.17 323
- D.17 401
- A.1管流量减小2管不变,总流量减小
- B.1管流量减小2管加大,总流量不变
- C.1管流量减小2管加大,总流量减小
- D.1管流量不变2管减小,总流量减小
- A.1管流量减小2管不变,总流量减小
- B.1管流量减小2管加大,总流量不变
- C.1管流量减小2管加大,总流量减小
- D.1管流量不变2管减小,总流量减小
- A.I0/2和0
- B.0和I0/2
- C.I0和I0
- D.I0/2和I0/2
- A.若A中所有5阶子式均为0,则秩R(A)=4
- B.若秩R(A)=4,则A中5阶子式均为0
- C.若秩R(A)=4,则A中4阶子式均不为0
- D.若A中存在不为0的4阶子式,则秩R(A)=4
- A.最低的生产成本
- B.最低的寿命周期成本
- C.合理的生产成本
- D.合理的寿命周期成本
- A.当地人民政府或有关部门
- B.监察部门
- C.当地人民政府的上级机构
- D.生产经营单位主管部门
- A.乙炔
- B.甲酸
- C.甲醛
- D.乙二酸
- A.当地人民政府或有关部门
- B.监察部门
- C.当地人民政府的上级机构
- D.生产经营单位主管部门
- A.4.9
- B.6.1
- C.3.4
- D.4.2
- A.ω1=1rad/s时振幅最大
- B.ω2=2rad/s时振幅最大
- C.ω3=3rad/s时振幅最大.
- D.不能确定
- A.f'(t)dt
- B.φ'(x)dx
- C.f'(t)φ'(x)dt
- D.f'(t)dx
- A.0.5倍
- B.1倍
- C.2倍
- D.4倍
- 87
-
AgC1在水中,0.01mo1/l CaC12溶液中,0.01mo1/l NaC1溶液,0.05mo1/l AgN03溶液中的溶解度分别为S0、S1、S2、S3,那么下列哪种排列是正确的( )。
- A.S0> S1 > S2> S3
- B.S0> S2> S1 > S3
- C.S0> S1 > S2= S3
- D.S0> S2> S3> S1
- A.6个月
- B.1年
- C.3年
- D.5年
- A.增加1倍
- B.增加2倍
- C.增加1/2倍
- D.[F]与A不成比例
- A.安全第一、预防为主
- B.安全为了生产,生产必须安全
- C.安全生产人人有责
- D.安全第一、事前控制
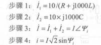
- A.仅步骤l和步骤2错
- B.仅步骤2错
- C.步骤1、步骤2和步骤4错
- D.仅步骤4错
- A.幅度的放大
- B.频率的放大
- C.幅度和频率的放大
- D.低频成分的放大
- A.4GB
- B.4KB
- C.128KB
- D.16KB
- A.4GB
- B.4KB
- C.128KB
- D.16KB
- A.a1=a2
- B.a1>a2
- C.a1D.ω1=ω2 <img src="//img1.yqda.net/question-name/6d/d1d991280b1775cb49ce329de846da.jpg" alt="" />
- A.可以在合同成立之后要求签订确认书,签订确认书时合同成立
- B.可以在合同成立同时要求签订确认书,签订确认书时合同成立
- C.可以在合同成立之前要求签订确认书,签订确认书时合同成立
- D.可以不要求签订确认书,合同也成立
- A.a1=a2
- B.a1>a2
- C.a1D.ω1=ω2 <img src="//img1.yqda.net/question-name/6d/d1d991280b1775cb49ce329de846da.jpg" alt="" />
- A.a1=a2
- B.a1>a2
- C.a1D.ω1=ω2 <img src="//img1.yqda.net/question-name/6d/d1d991280b1775cb49ce329de846da.jpg" alt="" />
- A.a1=a2
- B.a1>a2
- C.a1D.ω1=ω2 <img src="//img1.yqda.net/question-name/6d/d1d991280b1775cb49ce329de846da.jpg" alt="" />
- A.a1=a2
- B.a1>a2
- C.a1D.ω1=ω2 <img src="//img1.yqda.net/question-name/6d/d1d991280b1775cb49ce329de846da.jpg" alt="" />
- A.a1=a2
- B.a1>a2
- C.a1D.ω1=ω2 <img src="//img1.yqda.net/question-name/6d/d1d991280b1775cb49ce329de846da.jpg" alt="" />
- A.X+Y+42-3=0
- B.2x+Y+z-3=0
- C.X+2y+z-19=0
- D.X+2y+42-9=0
- A.00,900
- B.900,00
- C.45 0,600
- D.450.135 0
- A.2
- B.2.19
- C.0.5
- D.28.6
- A.当元件R、L、C串联时,端口总电压有效值一定大于每个元件电压的有效值
- B.当元件R、L、C并联时,L和C支路电流实际反向
- C.对于感性电路,当电源频率厂增大时,|Z|将减小
- D.当RLC串联电路谐振时,电路电流达最小值
- A.作用面与形心主惯性面重合
- B.作用面与形心主惯性面平行
- C.通过弯曲中心的任意平面
- D.通过弯曲中心,平行于主惯性平面
- 109
-
域名与IP地址的关系是( )。
- A.一个域名对应多个IP地址
- B.一个IP地址对应多个域名
- C.域名与IP地址没有任何关系
- D.一一对应
- A.Vp是速率分布中最大速率
- B.Vp是大多数分子的速率
- C.在一定的温度下,速率与Vp相近的气体分子所占的百分率最大
- D.Vp是所有分子速率的平均值
- A.Vp是速率分布中最大速率
- B.Vp是大多数分子的速率
- C.在一定的温度下,速率与Vp相近的气体分子所占的百分率最大
- D.Vp是所有分子速率的平均值
- A.Vp是速率分布中最大速率
- B.Vp是大多数分子的速率
- C.在一定的温度下,速率与Vp相近的气体分子所占的百分率最大
- D.Vp是所有分子速率的平均值
- A.Vp是速率分布中最大速率
- B.Vp是大多数分子的速率
- C.在一定的温度下,速率与Vp相近的气体分子所占的百分率最大
- D.Vp是所有分子速率的平均值
- A.重合
- B.平行不重合
- C.垂直相交
- D.相交不垂直
- A.医院
- B.城建集团
- C.城建集团分包商
- D.医院或城建集团
- A.λ
- B.1.5λ
- C.2λ
- D.3λ
- A.单向应力状态
- B.纯剪切应力状态
- C.二向拉伸应力状态
- D.三向拉伸应力状态
- A.向招标人提出口头评标报告,并推荐合格的中标候选人
- B.向招标人提出书面评标报告,并决定合格的中标候选人
- C.向招标人提出口头评标报告,并决定合格的中标候选人
- D.向招标人提出书面评标报告,并推荐合格的中标候选人
我













































































