- A.一个内存块的首地址,代表读入数据存放的地址
- B.一个整型变量,代表待读取的数据的字节数
- C.一个文件指针,指向待读取的文件
- D.一个内存块的字节数
- A.1
- B.16
- C.32
- D.0
- A.20
- B.10
- C.0
- D.出错
- A.在c语言中,预处理命令行都以‘‘#”开头
- B.预处理命令必须位于c源程序的起始位置
- C.#include<stdi0.h>必须放在c程序的开头
- D.C语言的预处理不能实现宏定义和条件编译的功能
- A.A
- B.B
- C.C
- D.D
- A.1,2
- B.2,4
- C.1,4
- D.2,3
- A.aut0和Iegister
- B.extern和register
- C.aut0和static
- D.static和register
- A.5,11
- B.5,5
- C.11,11
- D.11,5
- A.3
- B.0
- C.7
- D.8
- A.A
- B.B
- C.C
- D.D
- 14
-
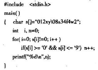
有以下程序
- A.A
- B.B
- C.C
- D.D
- A.-3,-1,1,3,
- B.-12,一3,0,0
- C.0,1,2,3,
- D.一3,-3,一3,一3,
- A.A
- B.B
- C.C
- D.D
- A.321678
- B.876543
- C.1098765
- D.345678
- A.A
- B.B
- C.C
- D.D
- A.float*p=&x;
- B.int*p-(float)x;
- C.float p=&x;
- D.float*p=1024;
- A.8
- B.2
- C.4
- D.1
- A.可以给指针变量赋一个整数作为地址值
- B.函数可以返回地址值
- C.改变函数形参的值,不会改变对应实参的值
- D.当在程序的开头包含头文件stdi0.h时,可以给指针变量赋NULL
- A.A
- B.B
- C.C
- D.D
- A.a=2,b=l
- B.a=2,b=2
- C.a=1,b=l
- D.a=1.b=0
- A.当产生的随机数n为0时,结束程序运行
- B.当产生的随机数n为4时,结束循环操作
- C.当产生的随机数n为l和2时,不做任何操作
- D.细循环语句固定执行8次
- A.可以是任意合法的表达式
- B.只能是整数0或非0整数
- C.可以是结构体类型的数据
- D.只能是整数O或l
- A.编译有错
- B.0,0,0,3
- C.1,1,2,0
- D.0,l,2,0
- A.4,8
- B.4,4
- C.2,4
- D.10,6
- A.123
- B.12
- C.1234
- D.1234
- A.&a
- B.FOR
- C.print
- D._00
- A.i=a%ll;
- B.i=(a+k)《=(i+k);
- C.a=a++,i++;
- D.i=!a;
- A.A
- B.B
- C.C
- D.D
- A.12.0Xtl23 4.5e0
- B.028.5e-3-0xf
- C.177 4el.5 0abe
- D.0x8A 10,000 3.e5
- A.C语言中的每条可执行语句和非执行语句最终都将被转换成二进制的机器指令
- B.C程序经过编译、连接步骤之后才能形成一个真正可执行的二进制机器指令文件
- C.用C语言编写的程序称为源程序,它以ASCIl代码形式存放在一个文本文件中
- D.C语言源程序经编译后生成后缀为.obj的目标程序
- A.在数据库系统中,数据的物理结构必须与逻辑结构一致 ,
- B.数据库技术的根本目标是要解决数据的共享问题
- C.数据库设计是指在已有数据库管理系统的基础上建立数据库
- D.数据库系统需要操作系统的支持
- A.选择
- B.投影
- C.插入
- D.连接
- A.属性
- B.键
- C.关系
- D.域
- A.提高耦合性降低内聚性有利于提高模块的独立性
- B.降低耦合性提高内聚性有利于提高模块的独立性
- C.耦合性是指一个模块内部各个元素间彼此结合的紧密程度
- D.内聚性是指模块间互相连接的紧密程度
- A.软件测试的目的是发现错误并改正错误
- B.对被调试的程序进行“错误定位”是程序调试的必要步骤
- C.程序调试通常也称为Debu9
- D.软件测试应严格执行测试计划,排除测试的随意性
- A.冒泡排序
- B.简单选择排序
- C.直接插入排序
- D.堆排序
- A.编译程序
- B.操作系统
- C.教务管理系统
- D.汇编程序
- A.栈
- B.树
- C.队列
- D.--X树
- A.10
- B.8
- C.6
- D.4
- A.栈是“先进先出”的线性表
- B.队列是“先进后出”的线性表
- C.循环队列是非线性结构的线性表
- D.有序线性表既可以采用顺序存储结构,也可以采用链式存储结构